0%

17向量化

17 向量化

17.1 What is vectorization?

image-20231218170525346

【举例】

image-20231218170331625

17.2 Neural network programming guideline

image-20231218170732621

image-20231218170919314

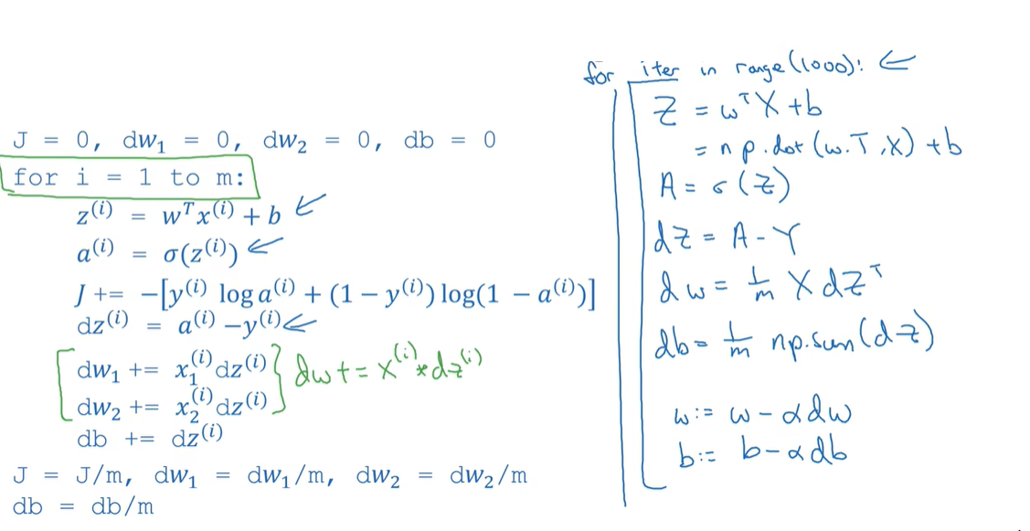
17.3 Logistic regression derivatives

image-20231218171117221

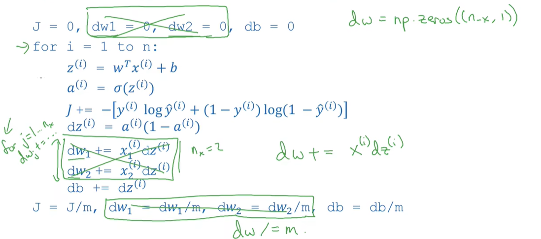
17.4 Vectorizing Logistic Regression

image-20231218172750055

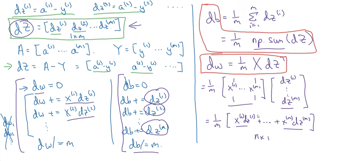
17.5 Vectorizing Logistic Regression 2

image-20231219114423482

17.6 Implementing Logistic Regression

image-20231219114728401