0%

15 logistic 回归中的梯度下降法

15 logistic 回归中的梯度下降法

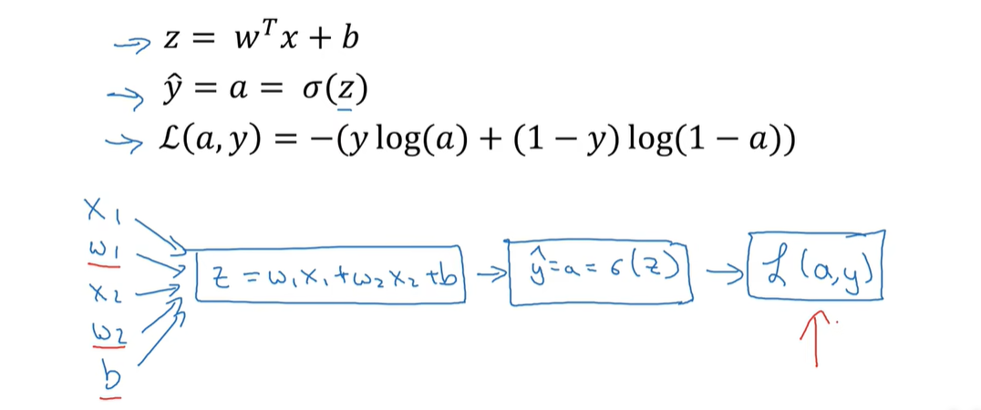
15.1 Logistic regression recap

image-20231218163658891

image-20231218164343526

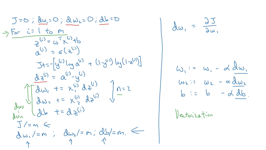
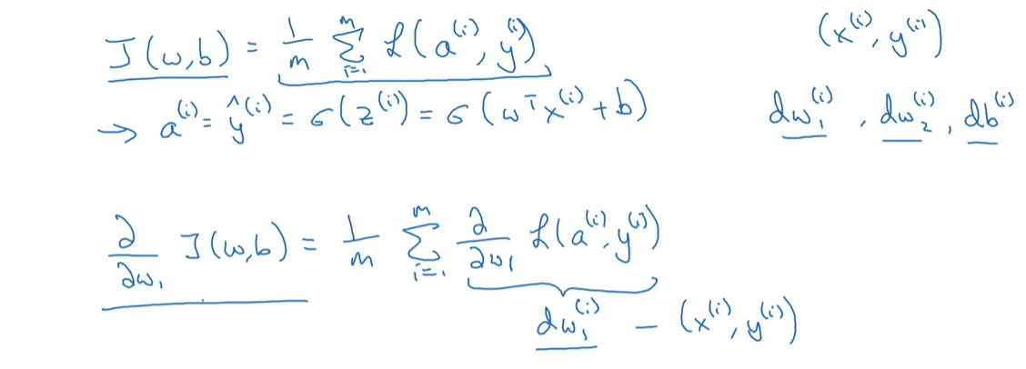
15.2 Logistic regression on $m$ examples

image-20231218164842297

image-20231218165746210