07自动求导
7.1自动求导
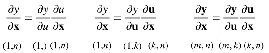
向量链式法则
标量链式法则

拓展到向量

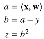
【举例】
假设

计算

先分解

得到:

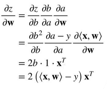
【举例】
假设

计算:

分解:

得到:

自动求导
自动求导计算一个函数在指定值上的导数
它有别于
符号求导

数值求导

计算图
- 将代码分解成操作子
- 将计算表示成一个无环图
- 显示构造(
Tensorflow/Theano/MXNet) - 隐式构造(
PyTorch/MXNet)


相当于告诉机器我是如何一步一步地计算地:

自动求导地两种模式
链式法则

正向积累

反向积累、又称反向传递 (backforward)

反向积累

先看正向,正向就是自计算图的底端,从下往上开始计算

当正向算完以后,就可以反向积累了。
首先,先求 $z$ 关于 $b$ 的导数,算完的结果是 $2b$ ,显然这里的 $b$ 反向积累时,不知道它的值究竟是多少,怎么办呢?我们可以使用之前正向计算过程中留下的结果,也就是读取之前运行的结果

同理,我们可以计算 $z$ 关于 $a$ 的导数,这里的 $b$ 就可以使用上面的 $2b$ 中的 $b$ 了。

最后,我们计算 $z$ 关于 $w$ 的导数,其中的 $a$ 可以取自正向计算时得到的结果

反向累积小结
前向:执行图,存储中间结果
反向:从相反方向执行图
去除不需要的枝

复杂度
- 计算复杂度:O(n), n是操作子个数
- 通常正向和反向的代价类似
- 内存复杂度:O(n),因为需要存储正向的所有中间结果
- 跟正向累积对比:
- O(n)计算复杂度用来计算一个变量的梯度
- O(1)内存复杂度
- 计算复杂度:O(n), n是操作子个数
7.2自动求导实现
假设我们想对函数 $y = 2 \boldsymbol {x}^T\boldsymbol {x}$ 关于列向量 $\boldsymbol {x}$ 求导

在我们计算 $y$ 关于 $\boldsymbol {x}$ 的梯度之前,我们需要一个地方来存储梯度。

现在我们计算 $y$ 。

通过调用反向传播函数来自动计算 $y$ 关于 $\boldsymbol {x}$ 每个分量的梯度。


现在让我们计算 $\boldsymbol {x}$ 的另一个函数。

深度学习中,我们的目的不是计算微分矩阵,而是批量中每个样本单独计算的偏导数之和。

将某些计算移动到记录的计算图之外,用于固定网络中的某些参数


即使构建函数的计算图需要通过 Python 控制流(例如,条件、循环或任意函数调用)我们任然可以计算得到变量的梯度。
工作原理是:隐式计算流:首先看我们的函数,你会发现,整个函数的返回值总是取决于 b 的值或者是你输入的 a 的值。每一次计算的时候,PyTorch会在背后将计算图存储下来,然后倒着做一遍就可以正确答案了。同时计算更慢。
