06矩阵计算
6.1矩阵计算
- 标量导数

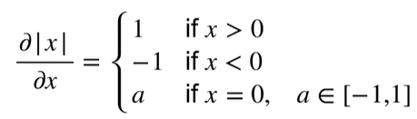
- 导数是切线的斜率

- 亚导数
- 将导数拓展到不可微的函数


另一个例子

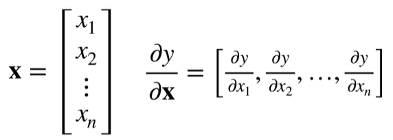
- 梯度
- 将导数拓展到向量

- $\frac{\partial y}{\partial x}$
- 列向量的导数是行向量

【举例】
方向 $(2, 4)$ 与等高线正交

如何理解:前面的函数可以画作是等高线,可以看作是一座山,现取任意一点 $(x_1, x_2) = (1, 1)$ ,经过这个点做等高线的切线(可以看作是上面函数的导数),而这个切线的垂线方向恰好可以使用我们所谓的梯度函数 $[2x_1, 4x_2]$ 计算出来。
梯度和等高线是正交的,指向的是等高线变化最大的方向。也就是机器学习求解的核心思想。
【举例】


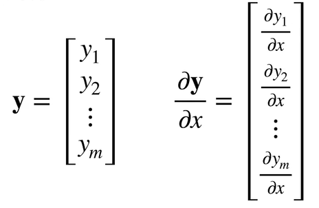
- $\frac{\partial y}{\partial x}$


$\frac{\partial y}{\partial x}$是行向量,$\frac{\partial y}{\partial x}$是列向量,这个被称为分子局部符号,反过来的版本就叫分母布局符号
- $\frac{\partial y}{\partial x}$



【举例】

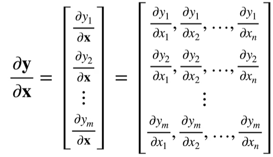
- 拓展到矩阵
