25 神经网络
25.1 What is a Neural Network ?

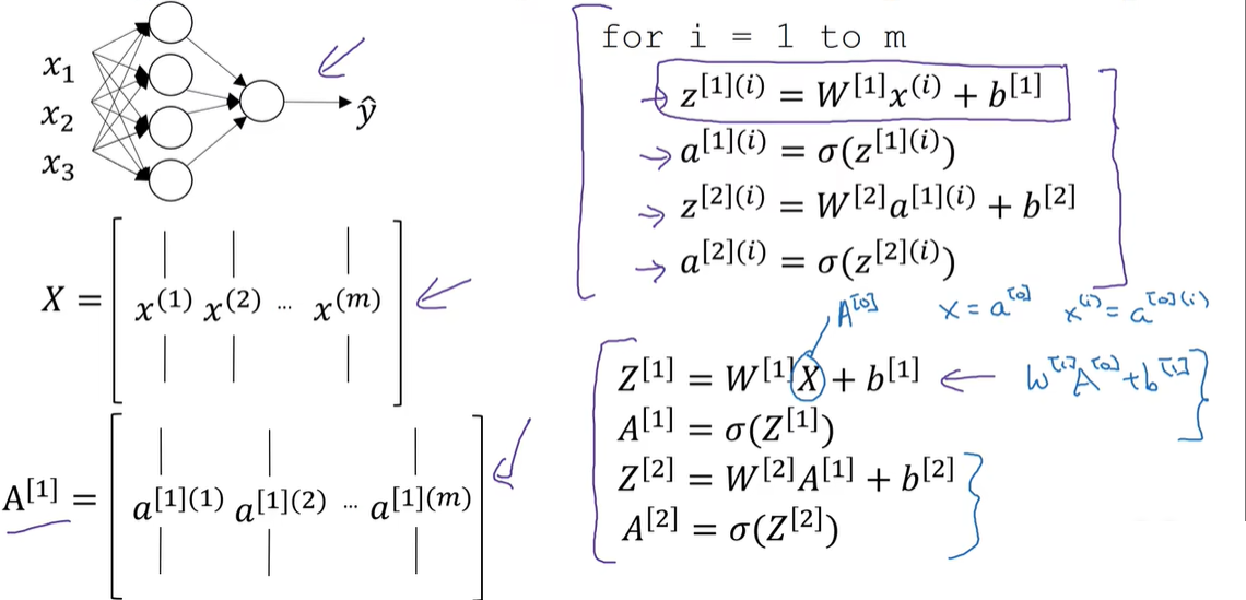
25.2 Neural Network Representation


向量化的一条经验法则:当我们在一层中有不同的节点,那就将它们竖向堆叠

25.3 Neural Network Representation learning

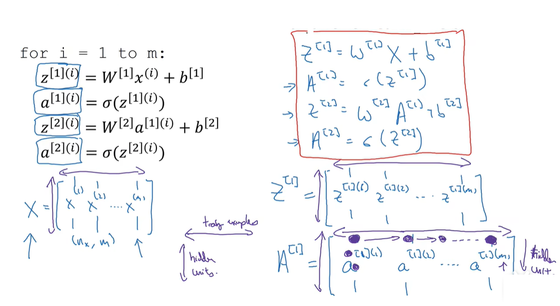
25.4 Vectorizing across multiple examples


25.5 Justification for vectorized implementation

25.6 Recap of vectorizing across multiple examples
