院龙
首页
关于
标签
分类
归档
搜索
0%
11导数
发表于
2023-12-18
更新于
2024-05-26
11 导数
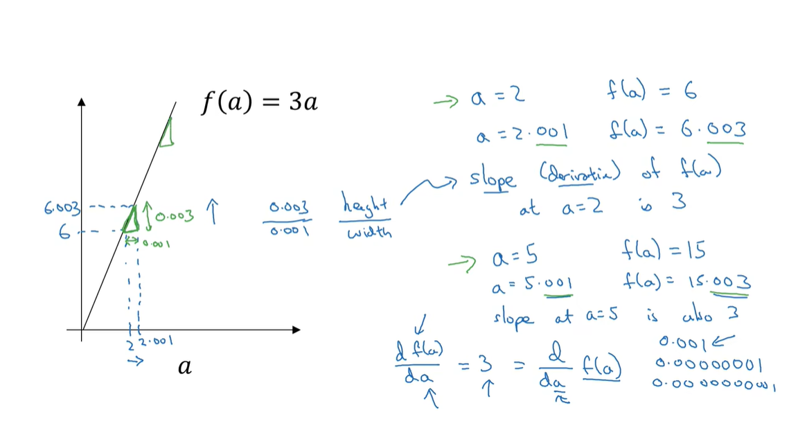
11.1 Intuition about derivatives
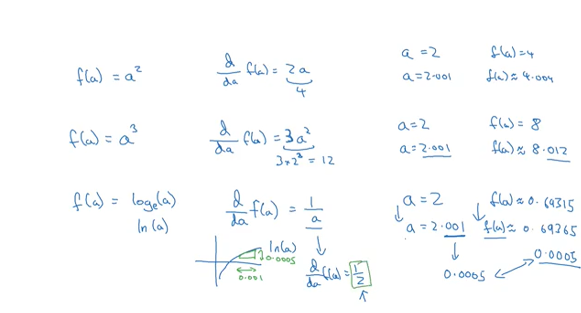
11.2 examples
打赏