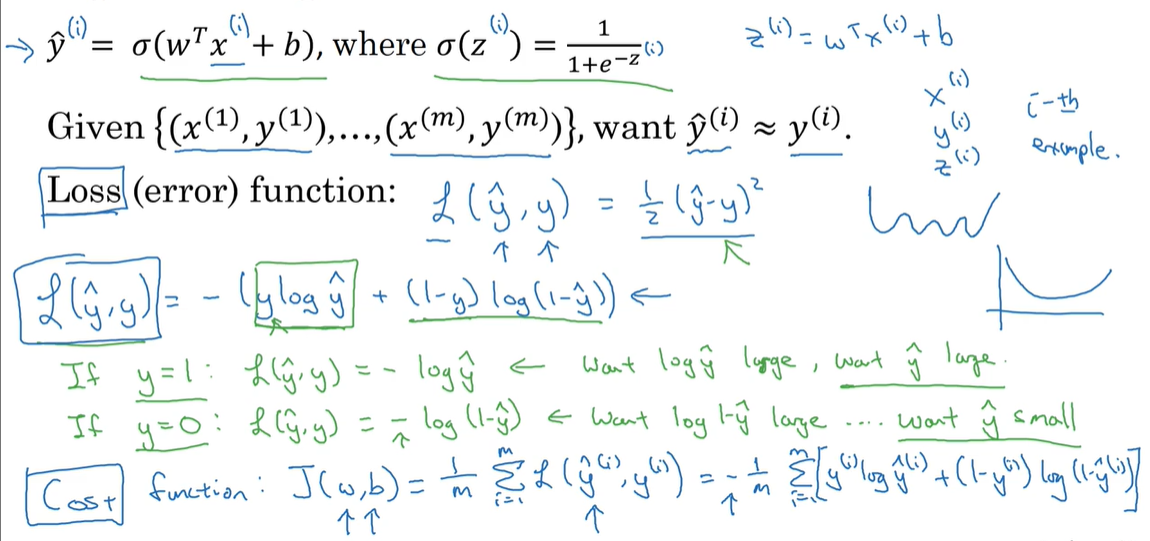
08逻辑回归 发表于 2023-12-18 更新于 2024-05-26 08 logistic 回归8.1 Logistic Regression 8.2 Logistic Regression cost function 打赏